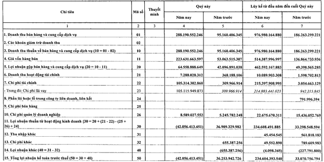
CTCP Thủy điện Vĩnh Sơn Sông Hinh (mã chứng khoán VSH) công bố báo cáo tài chính hợp nhất quý 3/2021 với doanh thu gấp 3 lần cùng kỳ, lên mức 288 tỷ đồng. Tuy vậy tỷ lệ tăng chi phí vốn cao hơn, gấp hơn 4 lần, dẫn đến lợi nhuận gộp đạt gần 65 tỷ đồng, còn tăng 54% so với quý 3 năm ngoái.
Theo báo cáo, sản lượng điện sản xuất đạt 328,78 triệu kWh, tăng 115% so với cùng kỳ. Từ tháng 4/2021 nhà máy Thủy điện Thượng Kon Tum đã chính thức đi vào vận hành phát điện nên tổng sản lượng điện phát trong quý tăng mạnh so với cùng kỳ.
Trong quý chi phí tài chính (toàn bộ là chi phí lãi vay) lên đến 105 tỷ đồng – tăng đột biến so với con số chưa đến 1 tỷ đồng ghi nhận trong quý 3 năm ngoái do phát sinh khoản vay đầu tư xây dựng nhà máy thủy điện Thượng Kon Tum. Trong khi đó doanh thu tài chính chỉ tăng hơn 7 tỷ đồng nhờ thu lãi chênh lệch tỷ giá.

Tính đến 30/9/2021 Vĩnh Sơn Sông Hinh ghi nhận còn dư vay nợ thuê tài chính ngắn hạn 258 tỷ đồng (giảm 513 tỷ đồng so với số liệu đầu năm). Dư vay nợ thuê tài chính dài hạn tăng 81 tỷ đồng, lên 5.077 tỷ đồng.
Kết quả, dù doanh thu tăng mạnh, nhưng quý 3/2021 Thủy điện Vĩnh Sơn Sông Hinh vẫn lỗ hơn 42 tỷ đồng, giảm sâu so với số lãi gần 30 tỷ đồng đạt được quý 3 năm ngoái.
Nhờ kết quả kinh doanh thuận lợi 2 quý đầu năm nên lũy kế 9 tháng đầu năm 2021 doanh thu Vĩnh Sơn Sông Hinh đạt 977 tỷ đồng, hơn gấp 5 lần cùng kỳ năm ngoái. Lợi nhuận sau thuế gấp 7,3 lần, lên gần 195 tỷ đồng và vượt 69% chỉ tiêu lợi nhuận được giao cho cả năm.









.png)